General Overview

Mycobacterium avium subsp. paratuberculosis (MAP) is an obligate pathogenic bacterium of the genus Mycobacterium which causes chronic inflammation of the intestine in domestic and wild ruminants as well as other animals, including primates. M. avium subsp.paratuberculosis can live in animals for years without necessarily causing clinical disease. Infection is widespread in domestic livestock in Europe and North America but can occur elsewhere. 

Summary Data

O’Brien et al.(1976) exposed three groups of newly weaned 4-month-old red deer orally with M. avium subsp. paratuberculosis Bovine strain and necropsy was conducted 44 weeks post inoculation to determine the infection rate.

Brotherston et al. (1976) inoculated South Country Cheviots at the age of three weeks orally with M. avium subsp. paratuberculosis IOI strain which was originally recovered from a clinical case of the disease in a sheep and VB/4 strain from an affected cow. The necropsy was done 1-9 months post inoculation.

Recommended Model

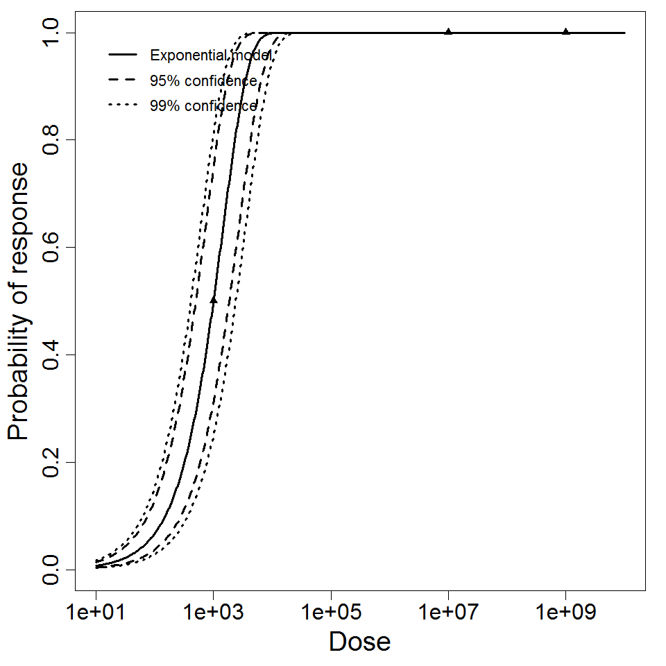
Experiment number 262 model is the recommended model. The ID50 of the model has lower value than the other model.

Exponential and betapoisson model.jpg

ID Exposure Route # of Doses Agent Strain Dose Units Host type Μodel LD50/ID50 Optimized parameters Response type Reference
262 oral 3.00 sub sp. Paratuberculosis Bovine CFU deer exponential 1000 k = 6.93E-04 infection
Nisbet, D. I., Gilmour, N. J., & Brotherston, J. G. (1962). Quantitative studies of Mycobacterium johnei in tissues of sheep. III. Intestinal histopathology. Journal of Comparative Pathology, 72, 80.
263 oral 3.00 sub sp. Paratuberculosis IOI strain CFU cheviots beta-Poisson 4.8E+02 a = 5.79E-02 N50 = 4.8E+02 infection
Badenoch, P. R., Johnson, A. M., Christy, P. E., & Coster, D. J. (1990). Pathogenicity of Acanthamoeba and Corynebacterium in the Rat Cornea. Archives of Ophthalmology, 108, 1. Retrieved from https://jamanetwork.com/journals/jamaophthalmology/article-abstract/638228
myco_intratracheal Intratracheal inoculation 3.00 MAC serotype 8 (Human-derived, AIDS Patient) CFU hamsters beta-Poisson 1.42E+8 a = 0.201 k = 4.87E-9 N50 = 1.42E+8 Disseminated infection
myco_intratracheal_2 Intratracheal inoculation 3.00 MAC serotype 8 (Human-derived, AIDS Patient) CFU hamsters beta-Poisson 7.93E+8 a = 0.048 N50 = 7.93E+8 Liver infection
myco_intravenous intravenous 5.00 M. avium serovar 1, human non- AIDS isolates: pooled strains N-289, N-356, N-357, N-364, N-445, N458, N-461; Serovar 9 strains N-254, N-302 CFU mice exponential 6.30E+5 k = 1.10E-6 Lung lesions
myco_intravenous_2 intravenous 5.00 MAC 101 (human-derived) CFU mice exponential 2.22E+8 k = 3.12E-9 death
myco_intravenous_3 intravenous 15.00 M. avium serotype II strain SSC 1323 (porcine-derived CFU pig exponential 7.49E+7 k = 9.26E-9 Lesions or culture in lymph nodes
myco_intravenous_3 intravenous 15.00 M. avium serotype II strain SSC 1323 (porcine-derived) CFU pig exponential 8.79E+6 k = 7.88E-8 Lesions or culture in lymph nodes
myco_intravenous_4 intravenous 15.00 CFU pig exponential 4.19E+7 k = 1.65E-8 Lesions or culture in lymph nodes
Highest quality
Exposure Route:
oral
# of Doses:
3.00
Agent Strain:
sub sp. Paratuberculosis Bovine
Dose Units:
CFU
Host type:
deer
Μodel:
exponential
LD50/ID50:
1000
Optimized parameters: k = 6.93E-04
Response type:
infection

Dose response data
Dose Infected Non-infected Total
1000 8 8 16
1E+07 16 0 16
1E+09 16 0 16

 

Goodness of fit and model selection
Model Deviance Δ Degrees 
of freedom
χ20.95,1 
p-value
χ20.95,m-k 
p-value
Exponential 3.07e-05 7.15e-06 2 3.84 
0.998
5.99 
1
Beta Poisson 2.36e-05 1 3.84 
0.996
Exponential is preferred to beta-Poisson; cannot reject good fit for exponential.

 

Optimized k parameter for the exponential model, from 10000 bootstrap iterations
Parameter MLE estimate Percentiles
0.5% 2.5% 5% 95% 97.5% 99.5%
k 6.93E-04 2.08E-04 2.88E-04 3.75E-04 1.16E-03 1.39E-03 1.67E-03
ID50/LD50/ETC* 1E+03 4.14E+02 5.00E+02 5.96E+02 1.85E+03 2.41E+03 3.34E+03
*Not a parameter of the exponential model; however, it facilitates comparison with other models.

 

Parameter histogram for Exponential model (uncertainty of the parameter)

Exponential model plot, with confidence bounds around optimized model

Exposure Route:
oral
# of Doses:
3.00
Agent Strain:
sub sp. Paratuberculosis IOI strain
Dose Units:
CFU
Host type:
cheviots
Μodel:
beta-Poisson
LD50/ID50:
4.8E+02
Optimized parameters: a = 5.79E-02 N50 = 4.8E+02
Response type:
infection

Dose response data
Dose Infected Non-infected Total
100 6 6 12
1E+05 6 6 12
1E+08 10 2 12

 

Goodness of fit and model selection
Model Deviance Δ Degrees 
of freedom
χ20.95,1 
p-value
χ20.95,m-k 
p-value
Exponential 193 192 2 3.84 
0
5.99 
0
Beta Poisson 1.43 1 3.84 
0.231
Beta-Poisson fits better than exponential; cannot reject good fit for beta-Poisson.

 

Optimized parameters for the beta-Poisson model, from 10000 bootstrap iterations
Parameter MLE estimate Percentiles
0.5% 2.5% 5% 95% 97.5% 99.5%
α 5.79E-02 9.94E-04 9.78E-03 1.25E-02 1.27E-01 1.42E-01 1.87E-01
N50 4.8E+02 3.44E-13 5.25E-08 1.89E-05 5.61E+04 1.50E+05 4.41E+06

 

Parameter scatter plot for beta Poisson model ellipses signify the 0.9, 0.95 and 0.99 confidence of the parameters

beta Poisson model plot, with confidence bounds around optimized model

Exposure Route:
Intratracheal inoculation
# of Doses:
3.00
Agent Strain:
MAC serotype 8 (Human-derived, AIDS Patient)
Dose Units:
CFU
Host type:
hamsters
Μodel:
beta-Poisson
LD50/ID50:
1.42E+8
Optimized parameters: a = 0.201 k = 4.87E-9 N50 = 1.42E+8
Response type:
Disseminated infection
Reference:

myco
Exposure Route:
Intratracheal inoculation
# of Doses:
3.00
Agent Strain:
MAC serotype 8 (Human-derived, AIDS Patient)
Dose Units:
CFU
Host type:
hamsters
Μodel:
beta-Poisson
LD50/ID50:
7.93E+8
Optimized parameters: a = 0.048 N50 = 7.93E+8
Response type:
Liver infection
Reference:

myco
 
Exposure Route:
intravenous
# of Doses:
5.00
Agent Strain:
M. avium serovar 1, human non- AIDS isolates: pooled strains N-289, N-356, N-357, N-364, N-445, N458, N-461; Serovar 9 strains N-254, N-302
Dose Units:
CFU
Host type:
mice
Μodel:
exponential
LD50/ID50:
6.30E+5
Optimized parameters: k = 1.10E-6
Response type:
Lung lesions
Reference:

Mycobacterium_Avium_1
Exposure Route:
intravenous
# of Doses:
5.00
Agent Strain:
MAC 101 (human-derived)
Dose Units:
CFU
Host type:
mice
Μodel:
exponential
LD50/ID50:
2.22E+8
Optimized parameters: k = 3.12E-9
Response type:
death
Reference:

myco
Exposure Route:
intravenous
# of Doses:
15.00
Agent Strain:
M. avium serotype II strain SSC 1323 (porcine-derived
Dose Units:
CFU
Host type:
pig
Μodel:
exponential
LD50/ID50:
7.49E+7
Optimized parameters: k = 9.26E-9
Response type:
Lesions or culture in lymph nodes
Reference:

myco_3.png
Exposure Route:
intravenous
# of Doses:
15.00
Agent Strain:
M. avium serotype II strain SSC 1323 (porcine-derived)
Dose Units:
CFU
Host type:
pig
Μodel:
exponential
LD50/ID50:
8.79E+6
Optimized parameters: k = 7.88E-8
Response type:
Lesions or culture in lymph nodes
Reference:

Exposure Route:
intravenous
# of Doses:
15.00
Agent Strain:
Dose Units:
CFU
Host type:
pig
Μodel:
exponential
LD50/ID50:
4.19E+7
Optimized parameters: k = 1.65E-8
Response type:
Lesions or culture in lymph nodes
Reference:

 

References

  • Ayele, W. Y., & Svastova, P. . (2005). Mycobacterium avium Subspecies paratuberculosis Cultured from Locally and Commercially Pasteurized Cow’s Milk in the Czech Republic. Applied and Environmental Microbiology, 71, 1210-1214.
  • O’Brien, R. ., Mackintosh, C. G., Bakker, D. ., Kopecna, M. ., Pavlik, I. ., & Griffin, J. F. (2006). Immunological and molecular characterization of susceptibility in relationship to bacterial strain differences in Mycobacterium avium subsp. paratuberculosis infection in the red deer (Cervus elaphus). Infection and Immunity, 74, 3530. Retrieved from http://www.ncbi.nlm.nih.gov/pubmed/16714585
  • Brotherston, J. G., Gilmour, N. J., & Samuel, J. . (1961). Quantitative studies of Mycobacterium johnei in the tissues of sheep. Journal of Comparative Pathology, 71, 286. Retrieved from http://www.ncbi.nlm.nih.gov/pubmed/14317616